W tym zadaniu musisz udowodnić, że funkcja
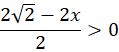
Sprawdź, dla jakich argumentów funkcja przyjmuje wartości dodatnie:
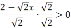
Usuń niewymierność z mianownika ułamka:
Ćwiczenie 2.
199Ćwiczenie 4.
199Zadanie 9.1.
200Zadanie 9.2
200Zadanie 9.3.
200Zadanie 9.5.
200Zadanie 9.6.
200Zadanie 9.8.
201Zadanie 9.10.
201Ćwiczenie 6.
202Ćwiczenie 7.
203Ćwiczenie 8.
203Ćwiczenie 9.
204Ćwiczenie 10.
204Zadanie 9.12.
205Zadanie 9.13.
205Ćwiczenie 11.
206Ćwiczenie 12.
207Ćwiczenie 13.
207Ćwiczenie 14.
208Ćwiczenie 15.
208Ćwiczenie 16.
209Zadanie 9.18.
210Zadanie 9.19.
210Zadanie 9.21.
210Zadanie 9.22.
210Zadanie 9.23.
210Ćwiczenie 17.
211Ćwiczenie 19.
212Ćwiczenie 20.
212Ćwiczenie 21.
212Ćwiczenie 22.
213Zadanie 9.26.
213Zadanie 9.27.
213Zadanie 9.29.
213Zadanie 9.30.
214Zadanie 9.31.
214Zadanie 9.32.
214Zadanie 9.35.
214Zadanie 9.36.
217Zadanie 9.37.
217Zadanie 9.40.
218Ćwiczenie 26.
219Ćwiczenie 30.
221Zadanie 9.41.
222Zadanie 9.42.
222Zadanie 9.43.
222Zadanie 9.44.
222Zadanie 9.45.
223Zadanie 9.47.
223Zadanie 9.48.
223Zadanie 7.
225Zadanie 9.
225Zadanie 11.
225