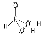
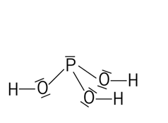
Atomy tworzą wiązania kowalencyjne, aby uzyskać oktet lub dublet elektronowy. Atom fosforu posiada 5 elektronów walencyjnych, więc tworzy trzy wiązania, aby uzyskać oktet elektronowy. W przypadku gdy atom fosforu jest połączony bezpośrednio z atomem wodoru, tworzy wiązanie koordynacyjne do atomu tlenu.