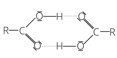
W tym zadaniu skorzystaj z wiedzy na temat tworzenia się wiązań wodorowych. Przestaw wzory w odpowiedni sposób, zgodny z poleceniem.
Wiązanie wodorowe tworzy się między atomem tlenu a atomem wodoru, który jest połączony wiązaniem kowalencyjnym z atomem tlenu.
Pytanie 1
Podpunkt a)
Podpunkt b)
Podpunkt c)
Podpunkt d)
Pytanie 2
Pytanie 3
Zadanie 2
Zadanie 3
Zadanie 1
Pytanie 4
Pytanie 5
Pytanie 6
Pytanie 7
Pytanie 8
Pytanie 9
Pytanie 10