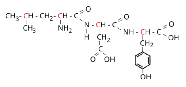
Tak, cząsteczka tego związku jest chiralna, ponieważ posiada asymetryczny atom węgla.
Zastanów się, co decyduje o tym, czy związek jest optycznie czynny. Warunkiemistnieniaenancjomerów jest obecnośćchiralnego atomu węgla, czyli atomu węgla z czterema różnymi podstawnikami. Asymetryczny atomy węgla zaznaczono na czerwono. Do istnienia chiralności wystarczy jeden asymetryczny atom węgla.