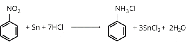
Nitrobenzen reaguje z cyną i kwasem solnym dając chlorek anilinowy – produktami ubocznymi są chlorek cyny i woda:
Następnie sól ta reaguje z wodorotlenkiem sodu. Powstaje anilina – produktami ubocznymi są chlorek sodu i woda.
Anilina to pierścień benzenu z grupą aminową. Grupa aminowa to szczególny rodzaj podstawnika, ponieważ elektrony pochodzące z atomu azotu stanowią wolną parę. Dzięki temu grupa aminowa jest elektrodonorem – wzbogaca pierścień aromatyczny i silnie go aktywuje. W efekcie podstawniki (atomy bromu) kierowane są w pozycje orto i para. Produktem ubocznym są trzy mole bromowodoru.