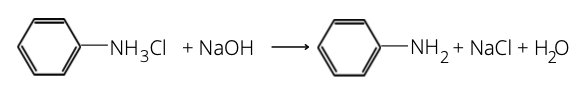
Ile aniliny uzyskamy w reakcji 25 g chlorku fenyloamoniowego z wodorotlenkiem sodu w nadmiarze? Zapisz równanie reakcji.
Masa chlorku fenyloamoniowego = 6 ∙ 12 + 5 ∙ 1 + 14 + 3 ∙ 1 + 35,5 = 72 + 5 + 14 + 3 + 35,5 = 129,5 [g/mol]
Masa aniliny = 6 ∙ 12 + 5 ∙ 1 + 14 + 2 ∙ 1 = 72 + 5 + 14 + 2 = 93 [g/mol]
129,5 g chlorku fenyloamoniowego – 93 g aniliny
25 g chlorku fenyloamoniowego – x
x = 25 ∙93 : 129,5 = 17,95 [g aniliny]
W pierwszym kroku zapisz równanie zachodzącej reakcji. Policz masy molowe chlorku fenyloamoniowego i aniliny, by znać wartości stechiometryczne – z jednego mola substratu otrzymujemy jeden mol produktu. Wartości mas poszczególnych atomów znajdziesz w tablicy pierwiastków chemicznych. Ułóż proporcję, w której porównasz wartości stechiometryczne i podaną masę chlorku, by poznać oczekiwaną masę aniliny w tej reakcji.
Zadanie 3
226Zadanie 4
226Zadanie 5
226Zadanie 8
228Zadanie 9
228Zadanie 10
228Zadanie 11
228Zadanie 12
228Zadanie 13
229Zadanie 14
229Zadanie 16
229Zadanie 17
230Zadanie 1
231Zadanie 3
231Zadanie 4
231Zadanie 10
232Zadanie 11
232Zadanie 13
233Zadanie 1
233Zadanie 2
234Zadanie 3
234Zadanie 4
234Zadanie 5
234Zadanie 6
234Zadanie 8
234Zadanie 9
234Zadanie 10
234Zadanie 11
234Zadanie 13
235Zadanie 15
235Zadanie 18
235Zadanie 19
235Zadanie 1
236Zadanie 2
236Zadanie 3
236Zadanie 11
237Zadanie 12
237Zadanie 13
237Zadanie 15
237Zadanie 20
238Zadanie 1
238Zadanie 2
238Zadanie 4
238Zadanie 6
238Zadanie 9
239Zadanie 10
239Zadanie 13
239Zadanie 14
239Zadanie 16
239Zadanie 1
240Zadanie 2
240Zadanie 4
240Zadanie 5
240Zadanie 11
241Zadanie 12
241Zadanie 15
241Zadanie 16
241Zadanie 18
241Zadanie 5
242Zadanie 6
242Zadanie 11
243Zadanie 2
244Zadanie 9
244Zadanie 13
245Zadanie 14
191Zadanie 18
245Zadanie 10
246Zadanie 14
246Zadanie 17
246