W tym zadaniu musisz obliczyć masę chlorku magnezu wykrystalizowanego w wyniku opisanej zmiany temperatury.
rozpuszczalność MgCl2:
R 60°C = 59,5 g
R 20°C = 54,5 g
· dla 60°C:
proporcje:
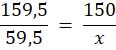
159,5 g roztworu zawiera 59,5 g soli
150g roztworu zawiera x g soli
159,5x = 8925 / : 159,5
x = 55,96 g soli
150 g roztworu – 55,96 g soli = 94,04 g wody
· dla 20°C:
proporcje:
100 g wody zawiera 54,5 g soli
94,04 g wody zawiera y g soli
100y = 5125,18
y = 51,25 g soli
55,96 g – 51,25 g = 4,71 g
Odpowiedź: Wykryzstalizuje 4,71 g chlorku magnezu.
· Za pomocą proporcji zestaw ze sobą masę roztworu, w którym rozpuszczalność soli wynosi 59,5 g (159,5 g roztworu odpowiada 59,5 g soli) oraz masę roztworu z treści zadania z niewiadomą masy soli (150g roztworu odpowiada x g soli). Obliczony wynik odejmij od masy roztworu.
· Za pomocą proporcji zestaw ze sobą dane wynikające z rozpuszczalności chlorku magnezu w 20°C (100 g wody odpowiada 54,5 g soli) oraz obliczoną wcześniej masę wody w roztworze i niewiadomą masy soli (94,04 g wody odpowiada y g soli). Oblicz y. Odejmij od siebie masy soli możliwej do rozpuszczenia się w różnych temperaturach (55,96 g – 51,25 g = 4,71 g) – tyle soli wykrystalizuje.
Zadanie 3.1.2.
39Zadanie 3.1.3.
39Zadanie 3.1.4.
39Zadanie 3.1.5.
39Zadanie 3.1.7.
39Zadanie 3.1.8.
39Zadanie 3.1.9.
39Zadanie 3.1.10.
39Zadanie 3.1.11.
40Zadanie 3.1.13.
40Zadanie 3.1.14.
40Zadanie 3.1.15.
40Zadanie 3.1.22.
41Zadanie 3.2.1.
41Zadanie 3.2.2.
41Zadanie 3.2.3.
41Zadanie 3.2.4.
42Zadanie 3.2.5.
42Zadanie 3.2.6.
42Zadanie 3.2.8.
42Zadanie 3.2.10.
42Zadanie 3.2.16.
43Zadanie 3.2.17.
43Zadanie 3.3.7.
45Zadanie 3.3.19.
47Zadanie 3.3.21.
47Zadanie 3.3.22.
47Zadanie 3.3.31.
48Zadanie 3.3.34.
48Zadanie 3.3.35.
48Zadanie 3.4.1.
51Zadanie 3.4.2.
51Zadanie 3.4.3.
51Zadanie 3.4.4.
51Zadanie 3.4.5.
51Zadanie 3.4.6.
51Zadanie 3.4.28.
53Zadanie 3.4.31.
54Zadanie 3.4.36.
55Zadanie 3.4.38.
56Zadanie 3.4.40.
57Zadanie 3.4.41.
57