Zadanie

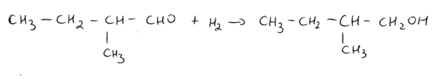
Określ, jaki będzie wzór aldehydu, z którego w dwóch krokach można otrzymać 2-metylobut-1-en. Zapisz równania reakcji.

Rozwiązanie

Wyjaśnienie

Zadania z tego działu
4. Związki karbonylowe
124
4.1 Budowa cząsteczek i właściwości fizyczne aldehydów i ketonów
124
4.2 Właściwości chemiczne aldehydów i ketonów
130
4.3 Otrzymywanie i zastosowania aldehydów i ketonów
136