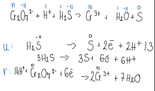
Utlenianie ma miejsce, gdy pierwiastek zwiększa swój stopień utlenienia, a redukcja- gdy zmniejsza.
Utleniacz- molekuła, która w reakcji redoks ulega redukcji, powodując utlenianie innej cząstki.
Reduktor- molekuła, która w reakcji redoks ulega utlenieniu, powodując redukcję innej cząstki.
Suma stopni utlenienia w związku chemicznym musi być równa 0, a w jonie- równa jego ładunkowi.
W większości związków tlen występuje na -II stopniu utlenienia, wodór- na +I, a pierwiastki I i II grupy układu okresowego mają jeden, stały stopień utlenienia, równy numerowi grupy. Stały stopień utlenienia mają także glin (+III) oraz cynk (+II).
Pierwiastki w stanie wolnym (w przypadku gazów cząsteczki również traktujemy jako stan wolny)- stopień utlenienia równy 0.