W tym zadaniu musisz wykonać polecenia.
Moc:
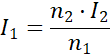
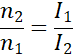
Gdzie:
U – napięcie, I - natężenie
Ćwiczenie 11.1.
Ćwiczenie 11.2.
Ćwiczenie 11.3.
Ćwiczenie 11.4.
Ćwiczenie 11.5.
Podpunkt a)
Podpunkt b)
Podpunkt c)
Podpunkt d)
Podpunkt e)
Ćwiczenie 11.6.
Ćwiczenie 11.7.
Ćwiczenie 11.8.
Ćwiczenie 11.9.
Ćwiczenie 11.10.
Ćwiczenie 11.11.
Ćwiczenie 11.12.
Ćwiczenie 11.13.
Ćwiczenie 11.14.
Ćwiczenie 11.15.
Ćwiczenie 11.16.
Ćwiczenie 11.17.
Ćwiczenie 11.18.
Ćwiczenie 11.19.
Ćwiczenie 11.20.
Podpunkt f)
Ćwiczenie 11.21.
Ćwiczenie 11.22.
Ćwiczenie 11.23.
Ćwiczenie 11.24.
Ćwiczenie 11.25.
Ćwiczenie 11.26.
Ćwiczenie 11.27.
Ćwiczenie 11.28.
Ćwiczenie 11.29.
Ćwiczenie 11.30.
Ćwiczenie 11.31.
Ćwiczenie 11.32.
Ćwiczenie 11.33.
Ćwiczenie 11.34.
Ćwiczenie 11.35.
Ćwiczenie 11.36.
Ćwiczenie 11.37.
Ćwiczenie 11.38.
Ćwiczenie 11.39.
Ćwiczenie 11.40.
Ćwiczenie 11.41.
Ćwiczenie 11.42.
Ćwiczenie 11.43.
Ćwiczenie 11.44.
Ćwiczenie 11.45.
Ćwiczenie 11.46.
Ćwiczenie 11.47.
Ćwiczenie 11.48.
Ćwiczenie 11.49.
Ćwiczenie 11.50.
Ćwiczenie 11.51.
Ćwiczenie 11.52.
Ćwiczenie 11.53.
Ćwiczenie 11.54.
Ćwiczenie 11.55.
Ćwiczenie 11.56.
Ćwiczenie 11.57.