W tym zadaniu musisz wykonać polecenie.
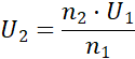
n – ilość znojów, U - napięcie
Ćwiczenie 11.1.
Ćwiczenie 11.2.
Ćwiczenie 11.3.
Ćwiczenie 11.4.
Ćwiczenie 11.5.
Podpunkt a)
Podpunkt b)
Podpunkt c)
Podpunkt d)
Podpunkt e)
Ćwiczenie 11.6.
Ćwiczenie 11.7.
Ćwiczenie 11.8.
Ćwiczenie 11.9.
Ćwiczenie 11.10.
Ćwiczenie 11.11.
Ćwiczenie 11.12.
Ćwiczenie 11.13.
Ćwiczenie 11.14.
Ćwiczenie 11.15.
Ćwiczenie 11.16.
Ćwiczenie 11.17.
Ćwiczenie 11.18.
Ćwiczenie 11.19.
Ćwiczenie 11.20.
Podpunkt f)
Ćwiczenie 11.21.
Ćwiczenie 11.22.
Ćwiczenie 11.23.
Ćwiczenie 11.24.
Ćwiczenie 11.25.
Ćwiczenie 11.26.
Ćwiczenie 11.27.
Ćwiczenie 11.28.
Ćwiczenie 11.29.
Ćwiczenie 11.30.
Ćwiczenie 11.31.
Ćwiczenie 11.32.
Ćwiczenie 11.33.
Ćwiczenie 11.34.
Ćwiczenie 11.35.
Ćwiczenie 11.36.
Ćwiczenie 11.37.
Ćwiczenie 11.38.
Ćwiczenie 11.39.
Ćwiczenie 11.40.
Ćwiczenie 11.41.
Ćwiczenie 11.42.
Ćwiczenie 11.43.
Ćwiczenie 11.44.
Ćwiczenie 11.45.
Ćwiczenie 11.46.
Ćwiczenie 11.47.
Ćwiczenie 11.48.
Ćwiczenie 11.49.
Ćwiczenie 11.50.
Ćwiczenie 11.51.
Ćwiczenie 11.52.
Ćwiczenie 11.53.
Ćwiczenie 11.54.
Ćwiczenie 11.55.
Ćwiczenie 11.56.
Ćwiczenie 11.57.