Oblicz prędkość z jaką poruszałaby się łódź, gdyby nie było nurtu rzeki oraz prędkość wody w rzece
gdzie: vŁ to prędkość łodzi, vr to prędkość nurtu rzeki
Prędkość łodzi na jeziorze wynosi
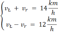
Ułóż układ równań opisujących prędkość łodzi względem brzegów rzeki na podstawie danych z treści zadania:
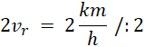
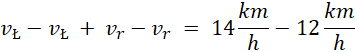
Po odjęciu równań od siebie otrzymasz równanie:
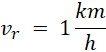
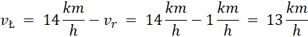
Mając obliczoną prędkość nurtu możesz z dowolnego z równań początkowego układu równań możesz obliczyć prędkość łodzi na jeziorze.
Zadanie 3
37Zadanie 1
39Zadanie 2
39Zadanie 1
46Zadanie 2
46Zadanie 3
46Zadanie 5
46Zadanie 1
64Zadanie 2
64Zadanie 3
64Zadanie 4
64Zadanie 5
64Zadanie 6
64Zadanie 1
67Zadanie 4
67Zadanie 5
67Zadanie 1
70Zadanie 2
70Zadanie 3
70Zadanie 4
70Zadanie 5
70Zadanie 6
70Ćwiczenie Test 1. – To musisz umieć
73Ćwiczenie Test 2 – Dobrze, jeśli to umiesz
73Ćwiczenie Test 3. – To warto umieć
74Ćwiczenie Test 4. – Świetnie, jeśli to umiesz
75