Oblicz prędkości średnie zielonego i różowego pociągu.
Średnie prędkość obu pociągów była taka sama
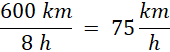
Jak możesz zauważyć oba pociągi pokonały tę samą drogę w czasie 8 godzin, czyli będą mieć taką samą prędkość średnią.
W ciągu 8 godzin oba pociągi pokonały 600 km, czyli ich prędkość średnią uzyskamy ze wzoru:
Zadanie 3
37Zadanie 1
39Zadanie 2
39Zadanie 1
46Zadanie 2
46Zadanie 3
46Zadanie 5
46Zadanie 1
64Zadanie 2
64Zadanie 3
64Zadanie 4
64Zadanie 5
64Zadanie 6
64Zadanie 1
67Zadanie 4
67Zadanie 5
67Zadanie 1
70Zadanie 2
70Zadanie 3
70Zadanie 4
70Zadanie 5
70Zadanie 6
70Ćwiczenie Test 1. – To musisz umieć
73Ćwiczenie Test 2 – Dobrze, jeśli to umiesz
73Ćwiczenie Test 3. – To warto umieć
74Ćwiczenie Test 4. – Świetnie, jeśli to umiesz
75