Przeanalizuj polecenie, oblicz czas w jakim impuls nerwowy dotrze z ręki do mózgu. Zweryfikuj, czy masz wszystkie informacje potrzebne do policzenia tego czasu.
Impuls jest przesyłany w ok 0,01 s. Brakująca informacja, to droga jaką musi pokonać.
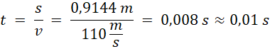
Gdy przyjrzysz się wzorowi na obliczenie czasu przeniesienia impulsu, zauważysz, że nie masz informacji o drodze jaką musi on pokonać:
Zastanów się, ile może wynosić droga jaką pokonuje impuls. Możesz np. zmierzyć odległość od ręki do głowy albo skorzystać z wiadomości, że 1 jard został zdefiniowany w XII wieku przez angielskiego króla jako odległość od czubka kciuka wyciągniętej ręki do czubka nosa, obecnie ma on wartość 0,9144 m.
Następnie możesz policzyć z jaką prędkością poruszał się autokar:
Zadanie 3
37Zadanie 1
39Zadanie 2
39Zadanie 1
46Zadanie 2
46Zadanie 3
46Zadanie 5
46Zadanie 1
64Zadanie 2
64Zadanie 3
64Zadanie 4
64Zadanie 5
64Zadanie 6
64Zadanie 1
67Zadanie 4
67Zadanie 5
67Zadanie 1
70Zadanie 2
70Zadanie 3
70Zadanie 4
70Zadanie 5
70Zadanie 6
70Ćwiczenie Test 1. – To musisz umieć
73Ćwiczenie Test 2 – Dobrze, jeśli to umiesz
73Ćwiczenie Test 3. – To warto umieć
74Ćwiczenie Test 4. – Świetnie, jeśli to umiesz
75