Odczytaj z wykresu potrzebne informacje i oblicz prędkość ciała w odpowiednich sekundach ruchu.
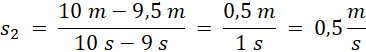
Przez 10 sekund ciało przebyło 10 m, a przez 9 s – 9,5 m
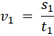
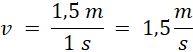
Ciało w pierwszej sekundzie ruchu poruszało się z prędkością
Odczytaj z wykresu wartości przebytej drogi (oś y) po pierwszej sekundzie ruchu (czas – oś x); w pierwszej sekundzie ruchu ciało przebyło: 1,5 m. Oblicz prędkość ciała w pierwszej sekundzie ruchu:
Odczytaj z wykresu wartości przebytej drogi (oś y) po ostatniej (10 s) i przed ostatniej (9 s) sekundzie ruchu (czas – oś x).
Oblicz drogę pokonaną przez ciało w ostatniej sekundzie ruchu, w tym celu odejmij drogę pokonaną przez 10 i 9 sekund ruchu od siebie. Oblicz prędkość ruchu w ostatniej sekundzie ruchu.
Możesz też obliczyć prędkość jako przyrost drogi w czasie:
Zadanie 3
37Zadanie 1
39Zadanie 2
39Zadanie 1
46Zadanie 2
46Zadanie 3
46Zadanie 5
46Zadanie 1
64Zadanie 2
64Zadanie 3
64Zadanie 4
64Zadanie 5
64Zadanie 6
64Zadanie 1
67Zadanie 4
67Zadanie 5
67Zadanie 1
70Zadanie 2
70Zadanie 3
70Zadanie 4
70Zadanie 5
70Zadanie 6
70Ćwiczenie Test 1. – To musisz umieć
73Ćwiczenie Test 2 – Dobrze, jeśli to umiesz
73Ćwiczenie Test 3. – To warto umieć
74Ćwiczenie Test 4. – Świetnie, jeśli to umiesz
75