Oblicz jaką drogę pokona ciało w ciągu 5 minut.
I metoda:
II metoda:
I. metoda
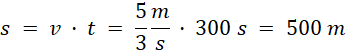
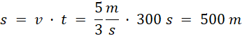
Możesz obliczyć najpierw z jaką prędkością poruszało się ciało w ciągu pierwszych sekund ruchu:
Wiadomo, że ciało poruszało się z stałą prędkością. Przelicz czas jaki ma się poruszać z minut na sekundy, aby utrzymać te same jednostki: 5 min = 5 · 60 s = 300 s.
Następnie oblicz drogę jaką pokonałoby ciało:
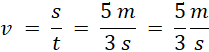
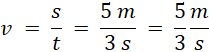
II. metoda
Możesz obliczyć drogę jaką pokonałoby ciało korzystając z proporcji. Wiadomo, że ciało przebyło 5 m w 3 s i przebędzie drogę s metrów w czasie 5 min, czyli 300 s. Proporcja będzie wyglądała następująco:
Zadanie 3
37Zadanie 1
39Zadanie 2
39Zadanie 1
46Zadanie 2
46Zadanie 3
46Zadanie 5
46Zadanie 1
64Zadanie 2
64Zadanie 3
64Zadanie 4
64Zadanie 5
64Zadanie 6
64Zadanie 1
67Zadanie 4
67Zadanie 5
67Zadanie 1
70Zadanie 2
70Zadanie 3
70Zadanie 4
70Zadanie 5
70Zadanie 6
70Ćwiczenie Test 1. – To musisz umieć
73Ćwiczenie Test 2 – Dobrze, jeśli to umiesz
73Ćwiczenie Test 3. – To warto umieć
74Ćwiczenie Test 4. – Świetnie, jeśli to umiesz
75