Zaznacz zdanie fałszywe.
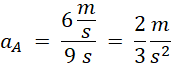
· Przyspieszenie ciała A:
· Droga jaką przebyło ciało A:
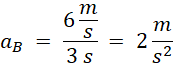
· Przyspieszenie ciała B w pierwszych 3 sekundach ruchu:
· Droga przebyta przez ciało B (suma drogi pokonanej ruchem jednostajnie przyspieszonym i jednostajnym):
C. Pocisk wylatuje z lufy karabinu od razu z dużą prędkością.
Sprawdź czy stwierdzenia w każdym z zdań są prawdziwe.
A. Droga przebyta przez ciało A była mniejsza niż droga przebyta przez ciało B.
Zdanie A. jest prawdziwe.
B. Prędkość ciała A była taka sama jak prędkość ciała B.
Zdanie B. jest prawdziwe, ponieważ linie oznaczające prędkości obu ciał się przecinają w chwili t = 9 s.
C. Przyspieszenie ciała A było mniejsze niż przyspieszenie ciała B.
Zdanie C. jest fałszywe, ponieważ ciało B porusza się z stałą prędkością, czyli ma zerowe przyspieszenie, natomiast ciało A posiada pewnie przyspieszenie.
D. Każde z ciał poruszało się z takim samym przyspieszeniem jak w chwili t = 8 s.
To zdanie jest prawdziwe, ponieważ ciało A miało takie samo przyspieszenie przez cały czas poruszania się, a ciało B ma w tym momencie zerowe przyspieszenie.
Zadanie 3
37Zadanie 1
39Zadanie 2
39Zadanie 1
46Zadanie 2
46Zadanie 3
46Zadanie 5
46Zadanie 1
64Zadanie 2
64Zadanie 3
64Zadanie 4
64Zadanie 5
64Zadanie 6
64Zadanie 1
67Zadanie 4
67Zadanie 5
67Zadanie 1
70Zadanie 2
70Zadanie 3
70Zadanie 4
70Zadanie 5
70Zadanie 6
70Ćwiczenie Test 1. – To musisz umieć
73Ćwiczenie Test 2 – Dobrze, jeśli to umiesz
73Ćwiczenie Test 3. – To warto umieć
74Ćwiczenie Test 4. – Świetnie, jeśli to umiesz
75