Oblicz prędkość niebieskiego pociągu.
Niebieski pociąg poruszał się z prędkością
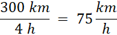
W ciągu 4 godzin niebieski pociąg pokonał 300 k. Jego prędkość policzymy podkładają dane do wzoru:
Zadanie 3
37Zadanie 1
39Zadanie 2
39Zadanie 1
46Zadanie 2
46Zadanie 3
46Zadanie 5
46Zadanie 1
64Zadanie 2
64Zadanie 3
64Zadanie 4
64Zadanie 5
64Zadanie 6
64Zadanie 1
67Zadanie 4
67Zadanie 5
67Zadanie 1
70Zadanie 2
70Zadanie 3
70Zadanie 4
70Zadanie 5
70Zadanie 6
70Ćwiczenie Test 1. – To musisz umieć
73Ćwiczenie Test 2 – Dobrze, jeśli to umiesz
73Ćwiczenie Test 3. – To warto umieć
74Ćwiczenie Test 4. – Świetnie, jeśli to umiesz
75