Zastąp litery x, y i z odpowiednimi wartościami siły przyspieszenia i masy.
A:
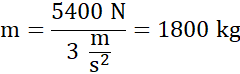
Masa:
Przyspieszenie:
Siła:
B:
Siła:
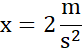
Przyspieszenie:
C:
Przyspieszenie:
Siła:
Skorzystaj ze wzoru na przyspieszenie wynikające z drugiej zasady dynamiki:
gdzie a – przyspieszenie
F – siła wypadkowa [N],
m – masa ciała [kg].
Skorzystaj ze wzoru na siłę wypadkową wynikający z drugiej zasady dynamiki:
Wzór na masę ma postać:
Ćwiczenie 2.
50Ćwiczenie 3.
51Zadanie 1.
52Zadanie 2.
52Zadanie 3.
52Ćwiczenie 3.
55Ćwiczenie 4.
57Zadanie 4.
58Zadanie 5.
59Zadanie 6.
59Zadanie 7.
59Zadanie 5.
70Zadanie 6.
70Zadanie 7.
70Zadanie więcej 2.
71Ćwiczenie 3.
75Zadanie 1.
76Zadanie 3.
76Zadanie 4.
76Zadanie 5.
76Zadanie 1.
78Zadanie 2.
78Zadanie 3.
78Zadanie 5.
79Zadanie 8.
79Zadanie 10.
80Ćwiczenie 1.
81Ćwiczenie 2.
82Ćwiczenie 4.
82Ćwiczenie 6.
83Ćwiczenie 7.
83Ćwiczenie 8.
83Ćwiczenie 9.
83Ćwiczenie 10.
84Ćwiczenie 11.
84