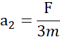
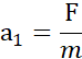
Policz, jaki będzie stosunek przyspieszeń lżejszego i cięższego wózka.
Przyspieszenie:
Dla wózka lżejszego:
Dla cięższego wózka:
Stosunek 3 : 1
Siły działające na wózki są takie same, dlatego tak naprawdę stosunek przyspieszeń jest stosunkiem wielkości mas.
Ćwiczenie 2.
50Ćwiczenie 3.
51Zadanie 1.
52Zadanie 2.
52Zadanie 3.
52Ćwiczenie 3.
55Ćwiczenie 4.
57Zadanie 4.
58Zadanie 5.
59Zadanie 6.
59Zadanie 7.
59Zadanie 5.
70Zadanie 6.
70Zadanie 7.
70Zadanie więcej 2.
71Ćwiczenie 3.
75Zadanie 1.
76Zadanie 3.
76Zadanie 4.
76Zadanie 5.
76Zadanie 1.
78Zadanie 2.
78Zadanie 3.
78Zadanie 5.
79Zadanie 8.
79Zadanie 10.
80Ćwiczenie 1.
81Ćwiczenie 2.
82Ćwiczenie 4.
82Ćwiczenie 6.
83Ćwiczenie 7.
83Ćwiczenie 8.
83Ćwiczenie 9.
83Ćwiczenie 10.
84Ćwiczenie 11.
84