Policz siłę ciągu, czyli siłę, która napędza samochód.
Ciężar:
Masa:
Przyspieszenie:
Siła ciągu:
Skorzystaj ze wzoru na siłę wypadkową wynikający z drugiej zasady dynamiki:
gdzie a – przyspieszenie
F – siła wypadkowa [N],
m – masa ciała [kg].
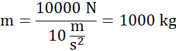
Dla obliczenia masy wykorzystaj wzór na ciężar:
gdzie g – przyspieszenie ziemskie
Q – ciężar ciała [N],
m – masa ciała [kg].
Ćwiczenie 2.
50Ćwiczenie 3.
51Zadanie 1.
52Zadanie 2.
52Zadanie 3.
52Ćwiczenie 3.
55Ćwiczenie 4.
57Zadanie 4.
58Zadanie 5.
59Zadanie 6.
59Zadanie 7.
59Zadanie 5.
70Zadanie 6.
70Zadanie 7.
70Zadanie więcej 2.
71Ćwiczenie 3.
75Zadanie 1.
76Zadanie 3.
76Zadanie 4.
76Zadanie 5.
76Zadanie 1.
78Zadanie 2.
78Zadanie 3.
78Zadanie 5.
79Zadanie 8.
79Zadanie 10.
80Ćwiczenie 1.
81Ćwiczenie 2.
82Ćwiczenie 4.
82Ćwiczenie 6.
83Ćwiczenie 7.
83Ćwiczenie 8.
83Ćwiczenie 9.
83Ćwiczenie 10.
84Ćwiczenie 11.
84