| Napięcie przyłożone do końców przewodnika (V) | Przepływający przez przewodnik ładunek (C) | Praca wykonana przez siły elektryczne podczas przemieszczania ładunku (J) |
| 20 | 0,5 | 10 |
| 230 | 5 | 1150 |
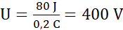
| 400 | 0,2 | 80 |
| 110 | 4 | 440 |
| 1000 | 6 | 6000 |
Wykorzystaj wzór na napięcie:
gdzie U – napięcie [V],
W – praca sił elektrycznych [J],
Q – ładunek elektryczny [C].
Po przekształceniach otrzymasz wzory na ładunek:
I pracę sił elektrycznych:
1:
2:
3:
4:
5: