Natężenie prądu:
Ładunek:
Czas:
Prąd jest zawsze taki sam:
Odczytaj ładunek ze zdjęć:
I:
Czas:
II:
Czas:
III:
Czas:
IV:
Czas:
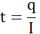
Natężenie prądu elektrycznego liczymy ze wzoru:
gdzie I – natężenie prądu [A],
q – ładunek elektryczny [C],
t – czas przepływu ładunku [s]. Przekształć ten wzór, by otrzymać wzór na czas. Jeśli podzielisz ładunek w amperogodzinach przez natężenie prądu w amperach, to otrzymasz czas w godzinach.