Zadanie

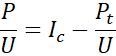
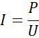
Na podstawie tabliczki znamionowej termowentylatora przedstawionej w podręczniku oblicz, jaką łączną moc mogą mieć pozostałe urządzenia włączone do sieci, jeśli na jej bezpieczniku widnieje napis „10 A”.

Rozwiązanie

Wyjaśnienie

Zadania z tego działu
6. Elektryczność i magnetyzm
119
16. Prąd przemienny i domowa sieć elektryczna
120
17. Bezpieczeństwo sieci elektrycznej
127
Temat dodatkowy. Magnetyzm i materia
141
21. Indukcja elektromagnetyczna
160
22. Transformator
165
Temat dodatkowy. Budujemy lepszy prostownik
175
Zadania powtórzeniowe. Dasz sobie z tym radę? – Świetnie!
188