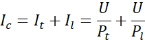
Odpowiedz, czy bezpiecznik 10 A odetnie zasilanie sieci, do której włączony został telewizor o mocy 400 W oraz lokówka o tabliczce znamionowej przedstawionej na zdjęciu w podręczniku.
Rozwiązanie
Bezpiecznik nie odetnie zasilania.
Wyjaśnienie
Obliczamy natężenie prądu wykorzystywanego przez oba urządzenia i przyrównujemy je do natężenia granicznego bezpiecznika.