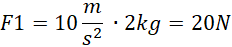
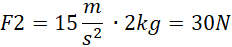
Oblicz siły wypadkowe i narysuj ich wektory.
Zgodnie z II zasadą dynamiki Newtona: , przekształcamy wzór: .
Zadanie 1
Zadanie 2
Zadanie 3
Zadanie 4
Podpunkt a)
Podpunkt b)
Podpunkt c)
Podpunkt d)
Podpunkt e)