Który składnik powietrza ma największa średnią energię kinetyczną
Rozwiązanie
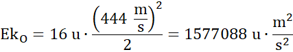
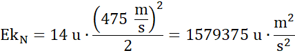
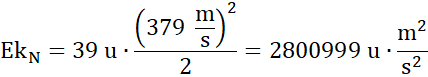
Największą średnią energię kinetyczną ma dwutlenek węgla.
Wyjaśnienie
Energia kinetyczna jest połową iloczynu masy i kwadratu prędkości, dla wartości podanych w treści możesz obliczyć, iż największa jest ona dla dwutlenku węgla.