Skul.pl
  • Opracowania zadań z podręczników
  • Zrozumieć fizykę. Klasa 1.Podręcznik. Zakres rozszerzony - rozwiązania i odpowiedzi
  • Zadanie 2

Zrozumieć fizykę. Klasa 1.Podręcznik. Zakres rozszerzony - rozwiązania i odpowiedzi

Podręcznik, Wydawnictwo: Nowa Era
Poprzednie

Zadanie 2 - strona 106

Następne

Zadanie

Jaka będzie wartość prędkości kamienia po 1,2 s ruchu, jeśli został rzucony poziomo z prędkością ?

Rozwiązanie

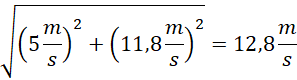
Odpowiedź: Wartość wektora prędkości kamienia wyniesie .

Skul

Wyjaśnienie

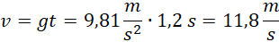
Aby obliczyć wartość wektora prędkości kamienia, musisz znać wartości jego składowych. Składowa pozioma jest stała i wynosi , natomiast składowa pionowa po 1,2 s będzie mieć wartość:

Wartość wektora liczymy z tw. Pitagorasa:

Poprzednie
Następne

Fizyka - wybrane pytania

Zadanie 2, strona 101, Spotkania z fizyką. Klasa 8. Zeszyt ćwiczeń - rozwiązania i odpowiedzi
Zadanie 2., strona 64, Fizyka. Fizyka z plusem. Klasa 7. Podręcznik - rozwiązania i odpowiedzi
Zadanie 1., strona 79, Fizyka. Klasa 2. Podręcznik. Zakres rozszerzony – rozwiązania i odpowiedzi
Zadanie 3.5, strona 103, Fizyka. Klasa 4. Poziom rozszerzony. Podręcznik - rozwiązania i odpowiedzi
Zadanie 2, strona 109, Fizyka. Klasa 7. Podręcznik - rozwiązania i odpowiedzi
Zadanie 6., strona 174, Świat fizyki. Klasa 7. Podręcznik - rozwiązania i odpowiedzi
Zadanie 6.9., strona 266, Zrozumieć fizykę. Klasa 1. Zakres rozszerzony. Zbiór zadań - rozwiązania i odpowiedzi
Zadanie 9., strona 120, Fizyka. Klasa 7-8. Zbiór zadań - rozwiązania i odpowiedzi
Zadanie 1, strona 213, Spotkania z fizyką. Klasa 7. Podręcznik - rozwiązania i odpowiedzi
Ćwiczenie 18.7, strona 88, Fizyka. Klasa 3. Zakres rozszerzony. Zbiór zadań - rozwiązania i odpowiedzi
REKLAMA
Skul
Zadania z tego działu
Ruch krzywoliniowy
92
Ruch krzywoliniowy
92

Zadanie 1

99

Podpunkt a)

99

Podpunkt b)

99

Zadanie 2

99

Podpunkt a)

99

Podpunkt b)

99

Zadanie 3

99

Zadanie 4

99

Zadanie 5

99

Podpunkt a)

99

Podpunkt b)

99

Podpunkt c)

99

Podpunkt d)

99
Rzut poziomy
100

Zadanie 1

106

Podpunkt a)

106

Podpunkt b)

106

Zadanie 2

106

Zadanie 3

106

Zadanie 4

106

Zadanie 5

106
Prędkość w różnych układach odniesienia
107

Zadanie 1

110

Podpunkt a)

110

Podpunkt b)

110

Zadanie 2

110

Zadanie 3

110

Zadanie 4

110

Zadanie 5

110

Podpunkt a)

110

Podpunkt b)

110

Zadanie 6

110

Podpunkt a)

110

Podpunkt b)

110

Podpunkt c)

110
Ruch po okręgu
111

Zadanie 1

114

Podpunkt a)

114

Podpunkt b)

114

Podpunkt c)

114

Zadanie 2

114

Zadanie 3

114

Podpunkt a)

114

Podpunkt b)

114

Zadanie 4

114

Podpunkt a)

114

Podpunkt b)

114

Zadanie 5

114
Przyspieszenie dośrodkowe
115

Zadanie 1

118

Zadanie 2

118

Zadanie 3

118

Zadanie 4

118
Wiesz, umiesz, zdasz
120

Zadanie 1

124

Podpunkt 1)

124

Podpunkt 2)

124

Podpunkt 3)

124

Zadanie 2

124

Podpunkt 1)

124

Podpunkt 2)

124

Podpunkt 3)

124

Podpunkt 4)

124

Zadanie 3

125

Podpunkt 1)

125

Podpunkt 2)

125

Podpunkt 3)

125

Ćwiczenie 4

126

Podpunkt 1)

126

Podpunkt 2)

126
Pełny spis treści
Skul
Artboard 1
Skul.pl
  • Napisz do nas
  • FAQ
  • Mapa Serwisu
  • Google Play
  • App Store

Korzystanie z portalu oznacza akceptację Regulaminu.
Polityka prywatności. Ustawienia preferencji. Copyright: INTERIA.PL 1999-2023 Wszystkie prawa zastrzeżone.