Skul.pl
  • Opracowania zadań z podręczników
  • Zrozumieć fizykę. Klasa 1.Podręcznik. Zakres rozszerzony - rozwiązania i odpowiedzi
  • Zadanie 2

Zrozumieć fizykę. Klasa 1.Podręcznik. Zakres rozszerzony - rozwiązania i odpowiedzi

Podręcznik, Wydawnictwo: Nowa Era
Poprzednie

Zadanie 2 - strona 110

Następne

Zadanie

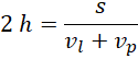
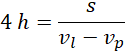
Czas, jaki potrzebuje łódka na przepłynięcie danego odcinka trasy z prądem oraz pod prąd wynosi odpowiednio 2 h oraz 4 h. Ile czasu zająłby jej ten odcinek, gdyby nie było prądu?

Rozwiązanie

Odpowiedź: Na jeziorze łódka przepłynie tę odległość w 2 h 40 min.

Skul

Wyjaśnienie

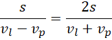
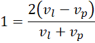
– prędkość prądu

– prędkość łódki

– odcinek trasy

a więc prędkość łódki w ruchu z prądem 2 razy większa od prędkości pod prąd.

Poprzednie
Następne

Fizyka - wybrane pytania

Zadanie 17., strona 115, Fizyka. Klasa 7-8. Zbiór zadań - rozwiązania i odpowiedzi
Ćwiczenie 8., strona 55, Fizyka. Świat fizyki. Klasa 8. Zeszyt ćwiczeń - rozwiązania i odpowiedzi
Zadanie 5, strona 67, To jest fizyka. Klasa 8. Zeszyt ćwiczeń - rozwiązania i odpowiedzi
Zadanie 4., strona 214, Fizyka. To jest fizyka. Klasa 8. Podręcznik - rozwiązania i odpowiedzi
Zadanie 14.4.5, strona 245, Zrozumieć fizykę 3. Zakres rozszerzony. Zbiór zadań - rozwiązania i odpowiedz.
Ćwiczenie 32.4, strona 150, Fizyka. Klasa 3. Zakres rozszerzony. Zbiór zadań - rozwiązania i odpowiedzi
Zadanie 25, strona 98, Fizyka. Klasy 1-3. Zakres podstawowy. Zbiór zadań - rozwiązania i odpowiedzi
Zadanie 5., strona 149, Fizyka. Klasa 1. Podręcznik. Zakres rozszerzony – rozwiązania i odpowiedzi
Zadanie 3., strona 286, Odkryć fizykę. Klasa 3. Zakres podstawowy. Podręcznik - rozwiązania i odpowiedzi
Zadanie 4., strona 58, Fizyka. Klasa 7. Podręcznik - rozwiązania i odpowiedzi
REKLAMA
Skul
Zadania z tego działu
Ruch krzywoliniowy
92
Ruch krzywoliniowy
92

Zadanie 1

99

Podpunkt a)

99

Podpunkt b)

99

Zadanie 2

99

Podpunkt a)

99

Podpunkt b)

99

Zadanie 3

99

Zadanie 4

99

Zadanie 5

99

Podpunkt a)

99

Podpunkt b)

99

Podpunkt c)

99

Podpunkt d)

99
Rzut poziomy
100

Zadanie 1

106

Podpunkt a)

106

Podpunkt b)

106

Zadanie 2

106

Zadanie 3

106

Zadanie 4

106

Zadanie 5

106
Prędkość w różnych układach odniesienia
107

Zadanie 1

110

Podpunkt a)

110

Podpunkt b)

110

Zadanie 2

110

Zadanie 3

110

Zadanie 4

110

Zadanie 5

110

Podpunkt a)

110

Podpunkt b)

110

Zadanie 6

110

Podpunkt a)

110

Podpunkt b)

110

Podpunkt c)

110
Ruch po okręgu
111

Zadanie 1

114

Podpunkt a)

114

Podpunkt b)

114

Podpunkt c)

114

Zadanie 2

114

Zadanie 3

114

Podpunkt a)

114

Podpunkt b)

114

Zadanie 4

114

Podpunkt a)

114

Podpunkt b)

114

Zadanie 5

114
Przyspieszenie dośrodkowe
115

Zadanie 1

118

Zadanie 2

118

Zadanie 3

118

Zadanie 4

118
Wiesz, umiesz, zdasz
120

Zadanie 1

124

Podpunkt 1)

124

Podpunkt 2)

124

Podpunkt 3)

124

Zadanie 2

124

Podpunkt 1)

124

Podpunkt 2)

124

Podpunkt 3)

124

Podpunkt 4)

124

Zadanie 3

125

Podpunkt 1)

125

Podpunkt 2)

125

Podpunkt 3)

125

Ćwiczenie 4

126

Podpunkt 1)

126

Podpunkt 2)

126
Pełny spis treści
Skul
Artboard 1
Skul.pl
  • Napisz do nas
  • FAQ
  • Mapa Serwisu
  • Google Play
  • App Store

Korzystanie z portalu oznacza akceptację Regulaminu.
Polityka prywatności. Ustawienia preferencji. Copyright: INTERIA.PL 1999-2023 Wszystkie prawa zastrzeżone.