Skul.pl
  • Opracowania zadań z podręczników
  • Fizyka. Klasa 7. Podręcznik - rozwiązania i odpowiedzi
  • Podpunkt b)

Fizyka. Klasa 7. Podręcznik - rozwiązania i odpowiedzi

Zeszyt ćwiczeń, Wydawnictwo: MAC
Poprzednie

Zadanie 4, b) - strona 112

Następne

Zadanie

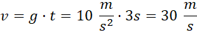
W tym zadaniu musisz uzasadnić podaną zależność na podstawie wykresu.

Rozwiązanie

Skul

Wyjaśnienie

Podstawiamy wartości do wzoru opisującego prędkość w ruchu jednostajnie przyspieszonym, gdzie przyspieszenie ma charakter jest grawitacyjny.

Poprzednie
Następne

Fizyka - wybrane pytania

Zadanie 14.4.3, strona 244, Zrozumieć fizykę 3. Zakres rozszerzony. Zbiór zadań - rozwiązania i odpowiedz.
Zadanie 45.14., strona 169, Zbiór zadań z fizyki dla szkoły podstawowej. Klasa 7-8 - rozwiązania i odpowiedzi
Zadanie 5, strona 93, Spotkania z fizyką. Klasa 8. Zeszyt ćwiczeń - rozwiązania i odpowiedzi
Zadanie 5., strona 17, Fizyka. Klasa 2. Podręcznik. Zakres podstawowy - rozwiązania i odpowiedzi
Zadanie 6., strona 24, Fizyka. To jest fizyka. Klasa 8. Podręcznik - rozwiązania i odpowiedzi
Zadanie 5., strona 134, Zrozumieć fizykę 4. Zakres rozszerzony. Zbiór zadań - rozwiązania i odpowiedzi
Ćwiczenie 10.40., strona 31, Świat fizyki. Klasa 8. Zbiór zadań - rozwiązania i odpowiedzi
Zadanie 9., strona 321, Odkryć fizykę. Klasa 3. Zakres podstawowy. Podręcznik - rozwiązania i odpowiedzi
Zadanie 4.5.7., strona 155, Zrozumieć fizykę. Klasa 1. Zakres rozszerzony. Zbiór zadań - rozwiązania i odpowiedzi
Zadanie 4., strona 222, Świat fizyki. Klasa 7. Podręcznik - rozwiązania i odpowiedzi
REKLAMA
Skul
Zadania z tego działu
6. Siły wokół nas
94
6.1 Wzajemne oddziaływanie ciał
94

Zadanie 1

94

Zadanie 2

94

Zadanie 3

95

Podpunkt a)

95

Podpunkt b)

95

Podpunkt c)

95

Podpunkt d)

95

Zadanie 4

95

Zadanie 5

96

Zadanie 6

96

Zadanie 7

97

Zadanie 8

97

Zadanie 9

98

Zadanie 10

98
6.2 Pierwsza zasada dynamiki Newtona
99

Zadanie 1

99

Zadanie 2

99

Zadanie 3

99

Zadanie 4

100

Zadanie 5

100

Zadanie 6

100

Zadanie 7

101

Podpunkt a)

101

Podpunkt b)

101

Zadanie 8

101
6.3 Trzecia zasada dynamiki Newtona
102

Zadanie 1

102

Zadanie 2

102

Zadanie 3

102

Zadanie 4

102

Zadanie 5

103

Zadanie 6

103

Zadanie 7

103
6.4 Siła sprężystości
104

Zadanie 1

104

Zadanie 2

104

Zadanie 3

104

Zadanie 4

55

Zadanie 5

105
6.5 Wpływ oporów ruchu na poruszające się ciała
106

Zadanie 1

106

Zadanie 2

106

Zadanie 3

107

Zadanie 4

107

Zadanie 5

107

Zadanie 6

107

Zadanie 7

108

Zadanie 8

108

Zadanie 9

108
6.6 Druga zasada dynamiki Newtona
109

Zadanie 1

109

Podpunkt a)

109

Podpunkt b)

109

Zadanie 2

109

Zadanie 3

109

Zadanie 4

110

Zadanie 5

110

Zadanie 6

111

Zadanie 7

111

Zadanie 8

111
6.7 Swobodne spadanie ciał
112

Zadanie 1

112

Zadanie 2

112

Zadanie 3

112

Zadanie 4

112

Podpunkt a)

112

Podpunkt b)

112

Zadanie 5

113

Zadanie 6

113
Podsumowanie działu 6
114

Zadanie 1

114

Zadanie 2

114

Zadanie 3

114

Zadanie 4

114

Zadanie 5

115

Zadanie 6

115

Zadanie 7

115

Zadanie 8

115

Zadanie 9

115

Zadanie 10

115
Pełny spis treści
Skul
Artboard 1
Skul.pl
  • Napisz do nas
  • FAQ
  • Mapa Serwisu
  • Google Play
  • App Store

Korzystanie z portalu oznacza akceptację Regulaminu.
Polityka prywatności. Ustawienia preferencji. Copyright: INTERIA.PL 1999-2023 Wszystkie prawa zastrzeżone.