g =
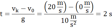
Ruch kamyka trwał 2 sekundy.
Aby znaleźć czas lotu kamyka, korzystamy ze wzoru na przyspieszenie w ruchu jednostajnie przyspieszonym i przekształcamy go tak, aby t zostało po lewej stornie, a reszta równania po prawej.