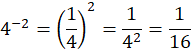
Wykonaj potęgowanie 4-2.
Gdy wykładnik potęgi jest ujemny, najpierw zapisz odwrotność liczby i zamień wykładnik potęgi na liczbę przeciwną, a następnie wykonaj potęgowanie.
Ćwiczenie 2.
34Ćwiczenie 3.
34Ćwiczenie 4.
35Ćwiczenie 5.
36Zadanie 1.
36Ćwiczenie 1.
37Ćwiczenie 2.
38Ćwiczenie 3.
39Ćwiczenie 4.
39Zadanie To się liczy!
40Zadanie 1.
40Ćwiczenie 1.
41Ćwiczenie 2.
42Ćwiczenie 3.
42Ćwiczenie 4.
43Ćwiczenie 5.
43Ćwiczenie 1.
44Ćwiczenie 2.
45Ćwiczenie 3.
45Ćwiczenie 4.
46Ćwiczenie 5.
46Ćwiczenie 6.
47Zadanie 3.
48Zadanie 5.
48Zadanie 9.
48Zadanie 10.
48Zadanie 3.
49Zadanie 6.
49Zadanie 8.
49Zadanie 11.
49