Wykonaj potęgowanie
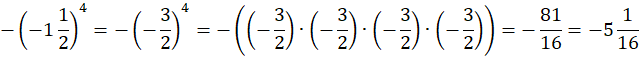
Zamień liczbę mieszaną na ułamek niewłaściwy, a następnie wykonaj potęgowanie. Potęgowanie to mnożenie podstawy tyle razy, ile określono w wykładniku. Parzysta potęga liczby ujemnej jest zawsze liczbą dodatnią, a nieparzysta potęga liczby ujemnej jest zawsze liczbą ujemną. Jako że w przykładzie jest minus przed nawiasem, to nie jest on potęgowany, dlatego wynik zostaje ujemny.
Ćwiczenie 2.
34Ćwiczenie 3.
34Ćwiczenie 4.
35Ćwiczenie 5.
36Zadanie 1.
36Ćwiczenie 1.
37Ćwiczenie 2.
38Ćwiczenie 3.
39Ćwiczenie 4.
39Zadanie To się liczy!
40Zadanie 1.
40Ćwiczenie 1.
41Ćwiczenie 2.
42Ćwiczenie 3.
42Ćwiczenie 4.
43Ćwiczenie 5.
43Ćwiczenie 1.
44Ćwiczenie 2.
45Ćwiczenie 3.
45Ćwiczenie 4.
46Ćwiczenie 5.
46Ćwiczenie 6.
47Zadanie 3.
48Zadanie 5.
48Zadanie 9.
48Zadanie 10.
48Zadanie 3.
49Zadanie 6.
49Zadanie 8.
49Zadanie 11.
49