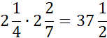
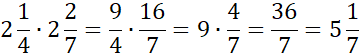
W tym zadaniu musisz wykonać mnożenie.
Rozpisane działania:
Ćwiczenie 1.
3Ćwiczenie 4.
3Ćwiczenie 7.
4Ćwiczenie 8.
4Ćwiczenie 10.
4Ćwiczenie 12.
5Ćwiczenie 13.
5Ćwiczenie 14.
5Ćwiczenie 1.
6Ćwiczenie 2.
6Ćwiczenie 1.
7Ćwiczenie 2.
7Ćwiczenie 3.
7Ćwiczenie 5.
7Ćwiczenie 8.
8Ćwiczenie 1.
9Ćwiczenie 2.
9Ćwiczenie 3.
9Ćwiczenie 4.
9Ćwiczenie 5.
9Ćwiczenie 6.
10Ćwiczenie 7.
10Ćwiczenie 8.
10Ćwiczenie 11.
11Ćwiczenie 12.
11Ćwiczenie 16.
12Ćwiczenie 17.
12Ćwiczenie 18.
12Ćwiczenie 19.
12Ćwiczenie 20.
12Ćwiczenie 2.
13Ćwiczenie 4.
13Ćwiczenie 6.
13Ćwiczenie 7.
14Ćwiczenie 8.
14Ćwiczenie 10.
15Ćwiczenie 1.
17Ćwiczenie 2.
18Ćwiczenie 3.
18Ćwiczenie 4.
20Ćwiczenie 5.
20Ćwiczenie 6.
20Ćwiczenie 7.
20