Policz, ile kosztowało panią Zosię podlewanie ogródka.
Ilość wody zużytej:
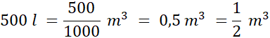
Za jeden metr sześcienny zapłaciłaby 4,50 zł, za pół litra zapłaci .
Jeden metr sześcienny to 1000 litrów.
Ćwiczenie 1.
Ćwiczenie 2.
Ćwiczenie 3.
Ćwiczenie 4.
Ćwiczenie 5.
Ćwiczenie 6.
Podpunkt a)
Podpunkt b)
Ćwiczenie 7.
Ćwiczenie 8.
Ćwiczenie 9.
Podpunkt c)
Podpunkt d)
Ćwiczenie 10.
Ćwiczenie 11.
Ćwiczenie 12.
Ćwiczenie 13.
Ćwiczenie 14.
Ćwiczenie 15.
Ćwiczenie 16.
Podpunkt e)
Podpunkt f)