| Długość krawędzi sześcianu | 4 cm | 10 dm | 1,5 m | 3 cm | ½ cm | 2 m |
| Pole powierzchni sześcianu | 96 cm2 | 600 dm2 | 13,5 m2 | 54 cm2 | 1,5 cm2 | 24 m2 |
Pole powierzchni całkowitej sześcianu wyrażamy za pomocą wzoru:
I sześcian:
II sześcian:
III sześcian:
IV sześcian:
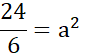
Znając pole, możemy obliczyć bok:
Podziel przez sześć:
Napisz pierwiastek liczby 9:
V sześcian:
VI sześcian:
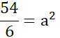
Znając pole, możemy obliczyć bok:
Podziel przez 6:
Policz pierwiastek z 4: