Musisz obliczyć podane przykłady i wybrać ten, który nie spełnia zadanych oczekiwań.
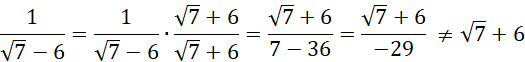
Nieprawdziwa jest równość: C)
W pozostałych przykładach można zauważyć, że mianownik po wykluczeniu niewymierności będzie się równał 1.
Ćwiczenie 1
99Ćwiczenie 2
99Ćwiczenie 4
100Ćwiczenie 5
100Ćwiczenie 6
101Zadanie 5.1
101Zadanie 5.2
101Zadanie 5.3
101Zadanie 5.4
101Zadanie 5.6
101Zadanie 5.7
102Zadanie 5.8
102Zadanie 5.9
102Zadanie 5.10
102Ćwiczenie 7
103Ćwiczenie 8
103Ćwiczenie 9
103Ćwiczenie 10
104Zadanie 5.12
104Zadanie 5.13
104Zadanie 5.14
104Zadanie 5.15
105Zadanie 5.16
105Zadanie 5.17
105Zadanie 5.18
105Zadanie 5.19
105Zadanie 5.20
105Zadanie 5.21
105Ćwiczenie 11
106Ćwiczenie 14
107Ćwiczenie 18
109Ćwiczenie 19
110Zadanie 5.22
110Zadanie 5.23
110Zadanie 5.25
111Zadanie 5.26
111Zadanie 5.27
111Zadanie 5.28
111Zadanie 5.29
111Zadanie 5.30
111Zadanie 5.33
112