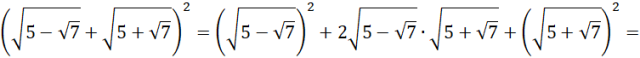
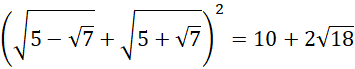
Musisz obliczyć podane wyrażenia wykorzystując wzory skróconego mnożenia.
Ćwiczenie 1
99Ćwiczenie 2
99Ćwiczenie 4
100Ćwiczenie 5
100Ćwiczenie 6
101Zadanie 5.1
101Zadanie 5.2
101Zadanie 5.3
101Zadanie 5.4
101Zadanie 5.6
101Zadanie 5.7
102Zadanie 5.8
102Zadanie 5.9
102Zadanie 5.10
102Ćwiczenie 7
103Ćwiczenie 8
103Ćwiczenie 9
103Ćwiczenie 10
104Zadanie 5.12
104Zadanie 5.13
104Zadanie 5.14
104Zadanie 5.15
105Zadanie 5.16
105Zadanie 5.17
105Zadanie 5.18
105Zadanie 5.19
105Zadanie 5.20
105Zadanie 5.21
105Ćwiczenie 11
106Ćwiczenie 14
107Ćwiczenie 18
109Ćwiczenie 19
110Zadanie 5.22
110Zadanie 5.23
110Zadanie 5.25
111Zadanie 5.26
111Zadanie 5.27
111Zadanie 5.28
111Zadanie 5.29
111Zadanie 5.30
111Zadanie 5.33
112