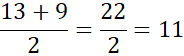
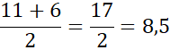
Zadanie

Sprawdź, czy średnia zaznaczonych liczb jest równa średniej dwóch średnich z zaznaczonych liczb.

Rozwiązanie

Wyjaśnienie

Zadania z tego działu
Statystyka
67
Odczytywanie danych statystycznych
67

Ćwiczenie 1.

67
Zbieranie i opracowywanie danych statystycznych
69