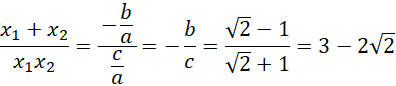
Musisz podstawić wzory Viete’a do zadanych wyrażeń i je obliczyć.
Do obliczenia pierwszego z zadanych wyrażeń przydadzą się wzory skróconego mnożenia:
Ze wzoru możemy odczytać:
Więc:
Ćwiczenie 4
301Ćwiczenie 5
302Ćwiczenie 6
302Ćwiczenie 7
302Ćwiczenie 8
303Zadanie 13.2
303Zadanie 13.3
303Zadanie 13.5
304Zadanie 13.6
304Zadanie 13.7
304Ćwiczenie 9
305Ćwiczenie 10
305Zadanie 13.9
306Zadanie 13.10
306Zadanie 13.12
306Zadanie 13.13
306Zadanie 13.14
306Zadanie 13.15
306Ćwiczenie 11
307Ćwiczenie 13
309Ćwiczenie 14
309Zadanie 13.16
310Zadanie 13.17
310Zadanie 13.18
310Zadanie 13.19
310Zadanie 13.20
310Ćwiczenie 19
313Zadanie 13.23
313Zadanie 13.32
314Ćwiczenie 20
314Ćwiczenie 21
315Ćwiczenie 22
316Ćwiczenie 23
316Ćwiczenie 24
317Ćwiczenie 25
317Zadanie 13.33
318Zadanie 13.34
318Zadanie 13.35
318Zadanie 13.36
318Zadanie 13.37
319Zadanie 13.38
319Zadanie 13.39
319Zadanie 13.41
322Zadanie 13.44
322Zadanie 13.45
322Zadanie 13.46
322Zadanie 13.47
322Ćwiczenie 1
300Ćwiczenie 2
300Ćwiczenie 3
301