W tym zadaniu musisz obliczyć wysokość trapezu o polu . Wiesz, że jego podstawy to i .
Wysokość trapezu:
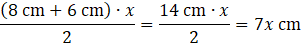
Pole trapezu:
Wysokość tego trapezu wynosi .
Skorzystaj z tego, że pole trapezu o podstawach i wysokości wynosi Oznacz nieznaną długość literą, ułóż równanie i rozwiąż je.
Ćwiczenie 1.
Ćwiczenie 2.
Ćwiczenie 3.
Ćwiczenie 4.
Ćwiczenie 5.
Podpunkt a)
Podpunkt b)
Podpunkt c)
Podpunkt d)
Podpunkt e)
Ćwiczenie 6.
Ćwiczenie 7.
Ćwiczenie 8.
Ćwiczenie 9.
Ćwiczenie 10.
Ćwiczenie 11.
Ćwiczenie 13.
Ćwiczenie 14.
Ćwiczenie 15.
Ćwiczenie 16.
Ćwiczenie 17.
Zadanie wyzwanie 1.
Zadanie sprawdzające 1.
Zadanie sprawdzające 2.
Zadanie sprawdzające 3.
Zadanie sprawdzające 4.
Zadanie sprawdzające 5.
Ćwiczenie 12.
Podpunkt f)