W tym zadaniu musisz obliczyć długość jednego z boków przy kącie prostym trójkąta prostokątnego, wiedząc, że ten trójkąt ma powierzchnię a drugi z boków przy kącie prostym ma długość .
Rozwiązanie
Pierwsza przyprostokątna:
Druga przyprostokątna:
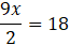
Pole trójkąta:
Pole trójkąta:
Drugi bok ma długość .
Wyjaśnienie
Skorzystaj z tego, że pole trójkąta prostokątnego o przyprostokątnych wynosi . Oznacz nieznany bok literą i rozwiąż równanie.