Rozwiąż szyfrogram i odczytaj hasło.
Hasło: Witelo
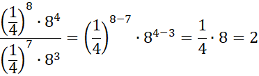
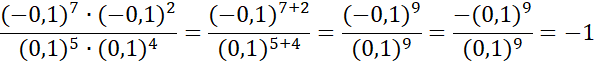
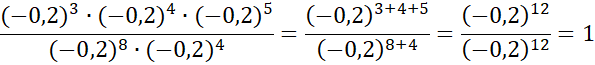
Jeśli chcemy pomnożyć liczby o tych samych podstawach, to dodajemy wykładniki. Jeśli chcemy podzielić liczby o tych samych podstawach, to odejmujemy wykładniki.
Ćwiczenie 1.
51Ćwiczenie 2.
51Ćwiczenie 3.
51Ćwiczenie 4.
51Ćwiczenie 5.
51Ćwiczenie 1.
52Ćwiczenie 2.
52Ćwiczenie 3.
52Ćwiczenie 1.
53Ćwiczenie 3.
53Ćwiczenie 4.
53Ćwiczenie 5.
53Ćwiczenie 1.
54Ćwiczenie 2.
54Ćwiczenie 3.
54Ćwiczenie 4.
54Ćwiczenie 5.
54Ćwiczenie 6.
54Ćwiczenie 1.
55Ćwiczenie 2.
55Ćwiczenie 1.
57Ćwiczenie 2.
57Ćwiczenie 3.
57Ćwiczenie 4.
57Ćwiczenie 5.
57Ćwiczenie 6.
57Ćwiczenie 1.
58Ćwiczenie 2.
58Ćwiczenie 3.
58Ćwiczenie 4.
58Ćwiczenie 2.
59Ćwiczenie 3.
59Ćwiczenie 4.
59Ćwiczenie 6.
60Ćwiczenie 7.
60Ćwiczenie 8.
60Ćwiczenie 9.
60Ćwiczenie 1.
61Ćwiczenie 2.
61Ćwiczenie 3.
61Ćwiczenie 4.
61