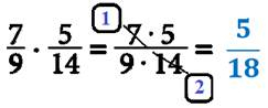
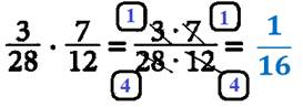
Skończ rozpoczęte równania.
a)
b)
Obliczenia upraszczasz, skracając wartości ułamków.
Ćwiczenie 1
Ćwiczenie 2
Ćwiczenie 3
Ćwiczenie 4
Ćwiczenie 5
Ćwiczenie 6
Ćwiczenie 7
Ćwiczenie 8
Podpunkt a)
Podpunkt b)
Ćwiczenie 9
Ćwiczenie 10
Ćwiczenie 11
Ćwiczenie 12
Podpunkt c)