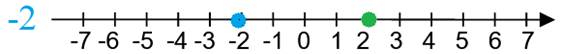
Najpierw na osi zaznacz liczby tak, aby oś została wyskalowana. Następnie zaznacz na osi liczbę, którą podano. W rozwiązaniu jest to niebieska kropka. Zieloną kropką zaznaczono natomiast liczbę do niej przeciwną. Pamiętaj, że cyfra zero jest jednocześnie swoją liczbą przeciwną, dlatego też na osi musisz zaznaczyć ją w tym samym miejscu.