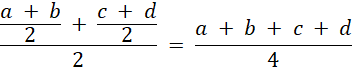
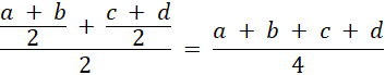
Zapisz podane średnie arytmetyczne, operując na literkach a, b, c i d.
Tak
– średniej arytmetyczna liczb a i b oraz średnia arytmetyczna liczb c i d
Zadanie 1.
Zadanie 2.
Zadanie 3.
Podpunkt a)
Podpunkt b)
Podpunkt c)
Zadanie 4.
Zadanie 5.
Zadanie 6.
Zadanie 7.
Zadanie 8.
Zadanie 9.
Zadanie 10.
Zadanie 11.
Ćwiczenie Wyzwanie
Ćwiczenie Ćwiczenie 1.
Ćwiczenie Ćwiczenie 2.
Ćwiczenie Ćwiczenie 3.
Ćwiczenie Ćwiczenie 4.
Ćwiczenie Ćwiczenie 5.
Podpunkt d)
Podpunkt e)
Podpunkt f)
Zadanie Ćwiczenie 2.
Zadanie Ćwiczenie 3.
Zadanie Ćwiczenie 4.
Zadanie Ćwiczenie 5.