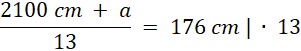
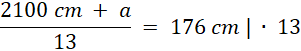
Oblicz, ile centymetrów wzrostu miał ten chłopiec.
– suma wzrostów 12 chłopców
Zadanie 1.
Zadanie 2.
Zadanie 3.
Podpunkt a)
Podpunkt b)
Podpunkt c)
Zadanie 4.
Zadanie 5.
Zadanie 6.
Zadanie 7.
Zadanie 8.
Zadanie 9.
Zadanie 10.
Zadanie 11.
Ćwiczenie Wyzwanie
Ćwiczenie Ćwiczenie 1.
Ćwiczenie Ćwiczenie 2.
Ćwiczenie Ćwiczenie 3.
Ćwiczenie Ćwiczenie 4.
Ćwiczenie Ćwiczenie 5.
Podpunkt d)
Podpunkt e)
Podpunkt f)
Zadanie Ćwiczenie 2.
Zadanie Ćwiczenie 3.
Zadanie Ćwiczenie 4.
Zadanie Ćwiczenie 5.