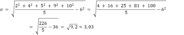
W tym zadaniu musisz obliczyć odchylenie standardowe liczb: 2, 4, 5, 9, 10
Oblicz średnią arytmetyczną, a następnie oblicz odchylenie standardowe korzystając ze wzoru.
Ćwiczenie B
266Ćwiczenie C
266Zadanie 1
267Zadanie 3
268Zadanie 5
268Zadanie 7
268Zadanie 10
162Zadanie 11
269Ćwiczenie A
271Zadanie 1
274Zadanie 2
275Zadanie 4
275Zadanie 8
162Zadanie 9
276Zadanie 10
276Zadanie 11
276Zadanie 12
277Zadanie 13
277Zadanie 14
277Zadanie 18
278Zadanie 19
278Zadanie 20
279Zadanie 21
162Ćwiczenie A
281Zadanie 1
282Zadanie 3
162Zadanie 4
282Zadanie 5
283Zadanie 9
284Zadanie 1
290Zadanie 2
290Zadanie 3
290Zadanie 6
291Zadanie 8
292Zadanie 9
292Zadanie 14
294Zadanie 4
296Zadanie 10
296