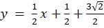
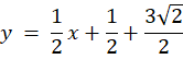
Zadanie

Znajdź postać ogólną oraz kierunkową prostej przechodzącej przez punkty i .

Rozwiązanie

Wyjaśnienie

Zadania z tego działu
5. Funkcja liniowa
232
5.1. Wykres funkcji liniowej
232

Zadanie 1.

232

Zadanie 2.

232

Zadanie 3.

232

Zadanie 4.

232

Zadanie 7.

232

Zadanie 9.

233

Zadanie 10.

233

Zadanie 11.

233

Zadanie 12.

233

Zadanie 13.

233

Zadanie 15.

234

Zadanie 16.

234

Zadanie 17.

234

Zadanie 21.

234

Zadanie 23.

235

Zadanie 24.

235

Zadanie 28.

235

Zadanie 29.

235

Zadanie 30.

235
5.2. Własności funkcji liniowej
236

Zadanie 1.

236

Zadanie 2.

236

Zadanie 4.

236

Zadanie 5.

236

Zadanie 6.

236

Zadanie 7.

236

Zadanie 9.

237

Zadanie 13.

237

Zadanie 14.

237

Zadanie 17.

237

Zadanie 20.

238

Zadanie 23.

238

Zadanie 24.

238

Zadanie 27.

238

Zadanie 28.

239

Zadanie 29.

239

Zadanie 31.

239

Zadanie 32.

239

Zadanie 33.

239

Zadanie 36.

239
5.3. Równanie prostej na płaszczyźnie
240

Zadanie 2.

240

Zadanie 3.

240

Zadanie 4.

240

Zadanie 5.

240

Zadanie 6.

240

Zadanie 7.

240

Zadanie 9.

241

Zadanie 11.

241

Zadanie 13.

241

Zadanie 14.

241

Zadanie 16.

241

Zadanie 17.

242

Zadanie 19.

242

Zadanie 22.

242

Zadanie 23.

242

Zadanie 24.

242

Zadanie 25.

243

Zadanie 27.

243

Zadanie 28.

243

Zadanie 29.

243

Zadanie 30.

243
5.7. Układy nierówności liniowych
256

Zadanie 1.

256

Zadanie 2.

256

Zadanie 3.

256

Zadanie 4.

256

Zadanie 5.

257

Zadanie 6.

257

Zadanie 8.

257

Zadanie 9.

257

Zadanie 10.

257

Zadanie 11.

258

Zadanie 12.

258

Zadanie 13.

258

Zadanie 16.

258

Zadanie 17.

258

Zadanie 18.

259

Zadanie 19.

259

Zadanie 20.

259

Zadanie 21.

259

Zadanie 23.

259
5.8. Równania i nierówności liniowe z parametrem
260

Zadanie 1.

260

Zadanie 2.

260

Zadanie 3.

260

Zadanie 4.

260

Zadanie 5.

260

Zadanie 6.

260

Zadanie 7.

260

Zadanie 8.

261

Zadanie 9.

261

Zadanie 10.

261

Zadanie 11.

261

Zadanie 13.

261

Zadanie 16.

261

Zadanie 18.

261

Zadanie 19.

262

Zadanie 20.

262

Zadanie 21.

262

Zadanie 22.

262

Zadanie 24.

262

Zadanie 25.

262

Zadanie 26.

263

Zadanie 27.

263

Zadanie 28.

263

Zadanie 29.

263

Zadanie 30.

263

Zadanie 31.

263

Zadanie 32.

263

Zadanie 33.

262
5.10. Powtórzenie
268

Zadanie 1.

268

Zadanie 2.

268

Zadanie 3.

268

Zadanie 4.

268

Zadanie 5.

268

Zadanie 7.

268

Zadanie 8.

268

Zadanie 10.

269

Zadanie 12.

269

Zadanie 13.

269

Zadanie 14.

269

Zadanie 15.

269

Zadanie 16.

269

Zadanie 17.

270

Zadanie 18.

270

Zadanie 21.

270

Zadanie 22.

270

Zadanie 28.

271

Zadanie 30.

271

Zadanie 32.

271

Zadanie 33.

271

Zadanie 34.

271