Na podstawie informacji zawartych w ramce, sprawdź, czy punkt
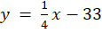
Na podstawie współrzędnych punktów A i R odczytujemy, że dla funkcji, której wykresem jest badana prosta, spadkowi argumentu o 8 jednostek towarzyszy spadek wartości o funkcji o 2 jednostki. Stąd wnioskujemy:
Prosta jest postaci
Badamy, czy punkt
Wykorzystaj informacje zawarte w ramce. Pamiętaj, że współczynnik kierunkowy prostej to iloraz zmiany wartości funkcji i argumentu funkcji (funkcji, której prosta jest wykresem). Wyznacz wartość współczynnika
Zadanie 1.
232Zadanie 2.
232Zadanie 3.
232Zadanie 4.
232Zadanie 7.
232Zadanie 9.
233Zadanie 10.
233Zadanie 11.
233Zadanie 12.
233Zadanie 13.
233Zadanie 15.
234Zadanie 16.
234Zadanie 17.
234Zadanie 21.
234Zadanie 23.
235Zadanie 24.
235Zadanie 28.
235Zadanie 29.
235Zadanie 30.
235Zadanie 1.
236Zadanie 2.
236Zadanie 4.
236Zadanie 5.
236Zadanie 6.
236Zadanie 7.
236Zadanie 9.
237Zadanie 13.
237Zadanie 14.
237Zadanie 17.
237Zadanie 20.
238Zadanie 23.
238Zadanie 24.
238Zadanie 27.
238Zadanie 28.
239Zadanie 29.
239Zadanie 31.
239Zadanie 32.
239Zadanie 33.
239Zadanie 36.
239Zadanie 2.
240Zadanie 3.
240Zadanie 4.
240Zadanie 5.
240Zadanie 6.
240Zadanie 7.
240Zadanie 9.
241Zadanie 11.
241Zadanie 13.
241Zadanie 14.
241Zadanie 16.
241Zadanie 17.
242Zadanie 19.
242Zadanie 22.
242Zadanie 23.
242Zadanie 24.
242Zadanie 25.
243Zadanie 27.
243Zadanie 28.
243Zadanie 29.
243Zadanie 30.
243Zadanie 1.
244Zadanie 2.
244Zadanie 3.
244Zadanie 4.
244Zadanie 5.
244Zadanie 7.
245Zadanie 10.
245Zadanie 11.
245Zadanie 19.
246Zadanie 20.
246Zadanie 22.
246Zadanie 24.
246Zadanie 26.
246Zadanie 29.
247Zadanie 30.
247Zadanie 1.
248Zadanie 2.
248Zadanie 3.
248Zadanie 7.
248Zadanie 10.
249Zadanie 11.
249Zadanie 12.
249Zadanie 13.
249Zadanie 15.
249Zadanie 17.
249Zadanie 19.
250Zadanie 24.
250Zadanie 26.
250Zadanie 27.
250Zadanie 31.
250Zadanie 1.
252Zadanie 2.
252Zadanie 3.
252Zadanie 4.
252Zadanie 6.
252Zadanie 7.
253Zadanie 9.
253Zadanie 10.
253Zadanie 11.
253Zadanie 13.
253Zadanie 15.
254Zadanie 19.
254Zadanie 26.
255Zadanie 34.
255Zadanie 1.
256Zadanie 2.
256Zadanie 3.
256Zadanie 4.
256Zadanie 5.
257Zadanie 6.
257Zadanie 8.
257Zadanie 9.
257Zadanie 10.
257Zadanie 11.
258Zadanie 12.
258Zadanie 13.
258Zadanie 16.
258Zadanie 17.
258Zadanie 18.
259Zadanie 19.
259Zadanie 20.
259Zadanie 21.
259Zadanie 23.
259Zadanie 1.
260Zadanie 2.
260Zadanie 3.
260Zadanie 4.
260Zadanie 5.
260Zadanie 6.
260Zadanie 7.
260Zadanie 8.
261Zadanie 9.
261Zadanie 10.
261Zadanie 11.
261Zadanie 13.
261Zadanie 16.
261Zadanie 18.
261Zadanie 19.
262Zadanie 20.
262Zadanie 21.
262Zadanie 22.
262Zadanie 24.
262Zadanie 25.
262Zadanie 26.
263Zadanie 27.
263Zadanie 28.
263Zadanie 29.
263Zadanie 30.
263Zadanie 31.
263Zadanie 32.
263Zadanie 33.
262Zadanie 3.
264Zadanie 4.
264Zadanie 6.
265Zadanie 7.
265Zadanie 8.
265Zadanie 9.
265Zadanie 10.
266Zadanie 11.
266Zadanie 12.
266Zadanie 14.
267Zadanie 1.
268Zadanie 2.
268Zadanie 3.
268Zadanie 4.
268Zadanie 5.
268Zadanie 7.
268Zadanie 8.
268Zadanie 10.
269Zadanie 12.
269Zadanie 13.
269Zadanie 14.
269Zadanie 15.
269Zadanie 16.
269Zadanie 17.
270Zadanie 18.
270Zadanie 21.
270Zadanie 22.
270Zadanie 28.
271Zadanie 30.
271Zadanie 32.
271Zadanie 33.
271Zadanie 34.
271